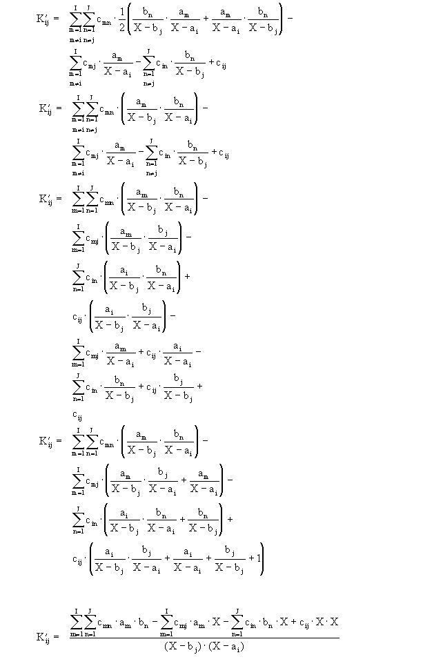
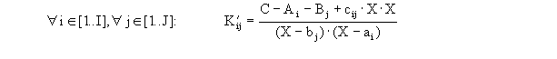
| gegeben: | ||
| I | Anzahl der Produktionsstandorte | |
| J | Anzahl der Abnehmerzentren | |
| ai | Aufkommen des Produktionsstandortes i ( i = 1...I ) | |
| bj | Bedarf des Abnehmerzentrums j ( j = 1...J ) | |
| cij | Kosten für den Transport einer Mengeneinheit vom | |
| Produktionsstandort i zum Abnehmerzentrum j | ||
| X | Gesamttransportmenge | |
| gesucht: | ||
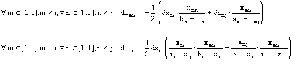
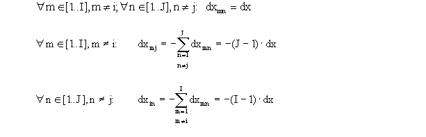
| xij | Transportmenge vom | |
| Produktionsstandort i zum Abnehmerzentrum j |
















| i \ j | 1 | 2 | 3 | ai |
| 1 | 3 | 4 | 5 | 10 |
| 2 | 10 | 7 | 6 | 1 |
| 3 | 12 | 15 | 100 | 10 |
| bj | 10 | 1 | 10 | X=21 |
| Matrix der cij - Werte: | Matrix der K'ij - Werte: | ||||||||||||||||||||||||||||||||||||||||||||||||||
|
|
| Matrix der cij - Werte: | Matrix der (reduzierten) K'ij - Werte: | ||||||||||||||||||||||||||||||||||||||||||||||||||
|
|